如何创建可编程输出反相降压-升压稳压器
在很多应用中,尤其是测试和测量领域,您都需要借助外部装置或数字模拟转换器设置反相降压/升压稳压器的输出电压。在常规的降压拓扑中,这种操作很简单:只需要借助一个带有串联电阻器的电压电源、一个电流源或者一个DAC将电流导入反馈节点,如图1所示。

1.降压拓扑的可编程电压
但是,如果您需要改变降压-升压拓扑中的电阻器的电压,就有一点麻烦了。
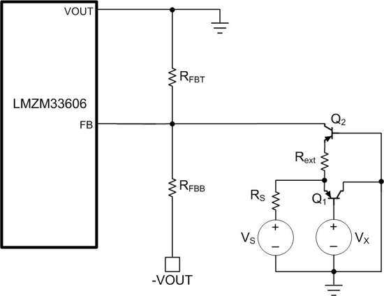
您可以通过反相接地和VOUT电位并使集成电路的参考位于-VOUT电位而配置降压-升压拓扑中的降压稳压器。也就是说稳压器集成电路的接地脚位于-VOUT。由于稳压器的FB引脚位于-VOUT电位而非接地电位上,将电流导入FB引脚便有一点棘手。为将电流导入反相降压-升压拓扑中的FB引脚,您需要电平移动电压源/DAC的信号。在本文中,我将向大家介绍一些不同的方法。
以德州仪器的LMZM33606为例。LMZM33606是一个额定输入电压为36V的降压电源模块,最大负载为6A。 图2说明了如何将LMZM33606设置为反相降压-升压稳压器。

2.LMZM33606反相降压-升压。
方法1:使用一个PNP的电平位移器
在这些降压-升压应用中使用LMZM33606时,可以实现-15V至-5V的可编程输出电压范围。通过电流源方法,您能够以绝对量级调低稳压器的输出。这样,在设置反馈分频器电阻器时,便可以将设计的默认输出设为-15V。添加外部电流源时,您可以将稳压器输出设置为-5V。默认输出为-15V时,计算的高反馈值和低反馈值分别为:
RFBT = 100kΩ.
RFBB = 7.42kΩ.
电平位移接地参考信号以将电流导入FB引脚的最简单的方法是,使用单PNP型双极性晶体管(BJT)。图三说明了如何将一个单PNP作为电平位移器使用。

3.用单PNP的部署。
PNP Q1的基极接地,反射极通过电阻器连接DAC/电压源。电压源高于PNP基地发射下拉(VBE)时,会产生等式1所述的电流:

xt设定为50kΩ。FB节点可以应用基尔霍夫电流定律,您可以使用等式2计算电流IX:

等式2中代入等式1,得出等式3,由此可以计算出调整输出电压VOUT所需的编程电压VX:

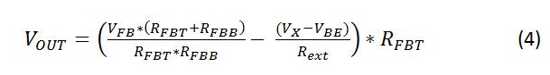
等式3变成等式4,可以得出根据VX值进行变成的VOUT:

等式4说明了VOUT对晶体管VBE的从属关系。晶体管VBE本身取决于集电极电流,随温度变化时,会影响编程VOUT的精确度。
下一个方法说明了如何从等式中移除VBE。图4所示是一个有两个PNP晶体管的电路,所采用的连接方式可以抵消VBE的影响。
方法2:使用两个PNP的电平位移器

4.两个PNP抵消VBE的部署。
本方法需要使用两个PNP,最好是使用两个组合包装的PNP BJT,以确保两个晶体管之间匹配良好。本方法还可以减少输出电压编程中的错误。
Q1晶体管的基极连接至程控电压源。发射极经由一个串联电阻器RS连接至另一个正电轨,并且集电极接地。这样便可以在晶体管的发射极形成一个VX + VBE电压。Q2晶体管的发射极通过电阻器RX连接至Q1的发射极。RX设置导入FB节点的电流。基极接地后,Q2发射极节点产生一个+VBE。等式5计算了流至发射极的电流(理想情况):

曾解释过,晶体管的VBE取决于集电极电流,如等式6所述:

其中IC为集电极电流,IS为饱和电流,VT为热电压。
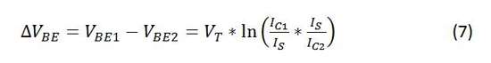
如果两个晶体管的集电极电流差异较大,则VBE不会完全彼此抵消。等式7阐述了晶体管两个VBE之间的差异:

简化为等式8:

其中X为两个集电极电流的比率。
如您所见,如果两个集电极电流相同,则VBE将完全抵消。在图4所示的配置中,设定RS的值时,需要确保集电极电流之间的差异不是太大。在本例中,我选择的RS为10kΩ,RX为50kΩ。VBE的增量也会随着VT而变化,它会随着温度变化而发生。
方法3:改良版威尔逊电流镜
使用电流镜匹配集电极电流是一个非常有效的方法。对此,相比常规的电流镜,威尔逊电流镜是一个更好的选择。图5是威尔逊电流镜中使用的原理图。

5.尔逊电流镜部署
本方法中,有另外一个BJT,基极连接至Q1的集电极。Q3的发射极连接至电流镜的VBE结点。程控电流经Q3晶体管的集电极流至FB引脚。
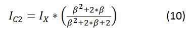
现在可暂时忽略电阻器RB,等式9按照以下方式计算导入本设置中的参考电流:

等式10得出了导入电流与参考电流的比率。

在晶体管的增量() 为较大的值时,可以看到威尔逊电流镜的精度远高于标准电流镜。
威尔逊电流镜不会完全消除对VBE的依赖性。但可以通过一个简单的方法避开。将电阻器RB从源VX连接至电流镜基极,如图5所示,形成一个添加至参考电流IX的电流。将等式9改写为等式11:

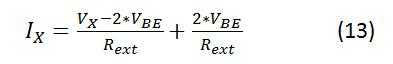
等式12选择RB:

等式13:

等式13中的VBE组件完全抵消,得出等式14:

等式14说明,导入FB节点的电流仅基于程控电压,不受VBE影响。
无论使用哪一种方法,都可以借助少数几个组件为反相电轨创建一个程控输出电压。电路的复杂性依具体的系统要求而异。对于要求极高保真度的应用,威尔逊电流镜是最佳的解决方案,因为它可以得出与程控电压最接近的响应。
关于德州仪器
关于德州仪器公司DLP®产品事业部:
自1996年以来,德州仪器公司的DLP显示技术屡获殊荣,为全球顶级的显示设备提供色彩丰富、对比鲜明、 高清靓丽的优秀画质,已广泛应用于包括智能显示技术在内的各种装置。利用DLP的智能显示功能,用户可在诸如汽车、医疗和互动投影等各种应用中与内容互 动。从影院(DLP Cinema®)到大型专业展厅,从会议室、教室到家庭影院,DLP的技术贯穿其中。此外,DLP Pico™使移动设备能够在您手中轻易地投影出画面。每一块DLP芯片的核心是由多达800万块显微镜所排成的阵列,它们超高速切换。凭借速度优 势,DLP技术可提供最尖端的应用。
更多信息请访问:www.dlp.com/cn/
关于德州仪器的创新:
80 多年来,德州仪器一直行走在科技创新前沿,其所生产的更高集成性、更快速且更节能的产品总能带给客户与众不同的感受。今天,随着能量采集、能源管理、云计 算、安全性、医疗健康技术等方面的进步,我们正在构建新的未来。更多关于德州仪器的模拟和嵌入式处理产品在现在以及将来如何改善人们生活、工作和娱乐方式的信息,敬请访问www.ti.com/innovation
关于德州仪器:
德州仪器 (TI) 半导体提供创新技术帮助全球90,000家客户开启未来世界无限可能。德州仪器致力于打造更智能、更安全、更环保、更健康以及更精彩的生活。我们把构建美 好未来的承诺付诸于日常言行的点滴,从高度负责地生产半导体产品,到关爱员工、回馈社区。这一切仅是德州仪器实践承诺的开始。更多详情,敬请查阅 www.TI.com.cn
DLP 和 DLP Cinema 为德州仪器公司注册商标。
联系德州仪器
免责声明:本文来源于德州仪器,本文仅代表作者个人观点,本站不作任何保证和承诺,若有任何疑问,请与本文作者联系。
最新动态更多
- 美视实力产品出货--500吋大型M工程银幕
- 闪耀一带一路 国画再续世博缘 ——中航国画激光
- 朗恒科技TVO-3H无压缩HDMI视频光端机用于4K拼接
- 5G大机遇下的两化融合发展之路暨两化百人会俱乐
- 传统拼接处理器与分布式拼接处理器的区别
- 顶尖数字艺术家云集 法国梅茨夏季星海艺术文化节
- 【走进深圳】库帕:打造差异化核心竞争优势
- 你知道光端机吗?对它的工作原理熟悉吗?
- 会展 | newline亮相2019北京部委央企及大型企业
- 从“人脸识别”向前一步 AI识别对象不断拓展
- 伦敦将打造LED外壳全沉浸式体验球形建筑
- 开启大屏幕 分享好时光 | 爱普生发布全球首款激
- “从教育工作者,到教育创新者”- 大理市互动教
- 【走进深圳】广景视睿:深化行业应用,赋能新场

















官方微博